Амиодарон-индуцированный тиреотоксикоз 2 типа: факторы отсроченного ответа на терапию глюкокортикоидами
https://doi.org/10.14341/ket12784
Аннотация
ОБОСНОВАНИЕ. Глюкокортикоиды являются препаратами первой линии для лечения амиодарон-индуцированного деструктивного тиреоидита. В связи с прогрессированием дисфункции левого желудочка, рецидивами нарушений ритма, увеличением риска неблагоприятных сердечно-сосудистых исходов у данной когорты пациентов, быстрое восстановление эутиреоза, особенно у лиц пожилого возраста, имеет решающее значение. Однако оно не всегда осуществимо с помощью медикаментозной терапии, поскольку непредсказуемо время достижения эутиреоза в каждом конкретном случае. Выявление факторов, позволяющих спрогнозировать эффективность и длительность терапии глюкокортикоидами, позволит определить верную тактику ведения пациентов.
ЦЕЛЬ. Выявить факторы отсроченного ответа на терапию глюкокортикоидами у пациентов с амиодарон-индуцированным тиреотоксикозом 2 типа.
МАТЕРИАЛЫ И МЕТОДЫ. В исследование включены 11 пациентов ретроспективного и 22 пациента проспективного исследований в возрасте от 30 до 80 лет (21 мужчина и 12 женщин) с верифицированным амиодарон-индуцированным тиреотоксикозом 2 типа, получивших терапию преднизолоном в стартовой дозе 30 мг/сут. Проанализированы анамнестические, антропометрические данные, результаты лабораторно-инструментальной диагностики. Срок наблюдения пациентов составил от 1 года до 5 лет. Эффективность терапии оценивалась по времени достижения эутиреоза, длительности тиреотоксикоза, частоте повторных волн деструкции и рецидивов.
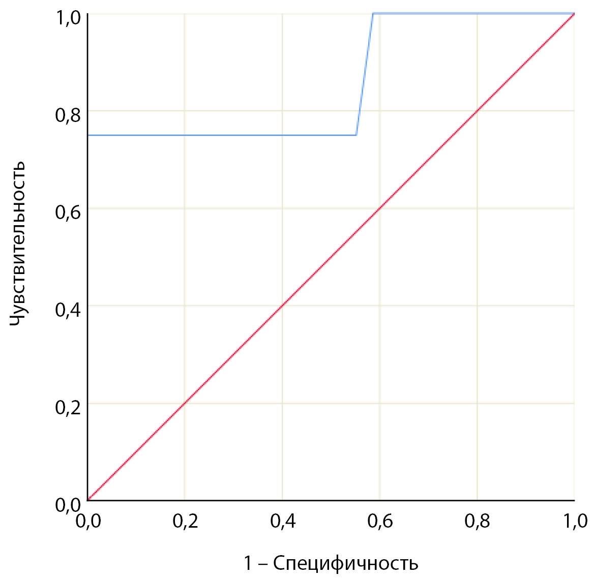
РЕЗУЛЬТАТЫ. Средний возраст пациентов составил 57,0 [52,0; 66,0] лет. Через 1 месяц (30 дней) от начала терапии глюкокортикоидами эутиреоз достигнут у 17/33 (51,5%) пациентов, рсвТ4ГК-свТ4ГК1мес<0,001, рсвТ3ГК-свТ3ГК1мес<0,001. Отсроченное достижение эутиреоза (>30 дней) отмечалось у 48,5% пациентов. Медиана срока достижения эутиреоза составила 72,0±3,0 (95% ДИ: 66,1–77,9) дня, среднее время — 86,9±13,4 (95% ДИ: 60,6–113,1) дня. Медиана срока длительности тиреотоксикоза — 120,0±22,1 (95% ДИ: 76,6–163,4) дня, среднее время — 137,8±15,6 (95% ДИ: 107,2–168,4) дня. Уровень свТ4 через 30 дней терапии зависел от интервала «клиническая симптоматика — лабораторное подтверждение» (R²=0,120, р=0,049). Время достижения эутиреоза зависело от возраста (R²=0,185; р=0,013). Возраст также был предиктором возникновения повторных волн деструкции (ОШ=0,833, 95% ДИ: 0,709–0,978; R²=0,428, р=0,025).
ЗАКЛЮЧЕНИЕ. Возраст пациента является прогностическим фактором для времени достижения эутиреоза при амиодарон-индуцированном тиреотоксикозе 2 типа.
Об авторах
А. С. ЕрмолаеваРоссия
Ермолаева Александра Сергеевна.
119991, Москва, ул. Трубецкая, д. 8, стр. 2
Конфликт интересов:
Нет
В. В. Фадеев
Россия
Фадеев Валентин Викторович - д.м.н., проф., член-корр. РАН.
Москва
Конфликт интересов:
Нет
Список литературы
1. Гетман С.И. Распространенность нарушений ритма сердца и проводимости среди обратившихся за медицинской помощью к кардиологу на амбулаторном этапе // Кардиология. — 2018. — Т. 58. №6. — С. 20–28. doi: https://doi.org/10.18087/cardio.2018.6.10130
2. Аракелян М.Г., Бокерия Л.А., Васильева Е.Ю., Голицын С.П., и др. Фибрилляция и трепетание предсердий. Клинические рекомендации 2020 // Российский кардиологический журнал. — 2021. — Т. 26. №7. — С. 4594. doi: https://doi.org/10.15829/1560-4071-2021-4594
3. Lippi G, Sanchis-Gomar F, Cervellin G. Global epidemiology of atrial fibrillation: An increasing epidemic and public health challenge. Int J Stroke. 2021;16(2):217-221. doi: https://doi.org/10.1177/1747493019897870
4. Mujović N, Dobrev D, Marinković M, Russo V, Potpara TS. The role of amiodarone in contemporary management of complex cardiac arrhythmias. Pharmacol Res. 2020;151:104521. doi: https://doi.org/10.1016/j.phrs.2019.104521
5. Лебедев Д.С., Михайлов Е.Н., Неминущий Н.М., Голухова Е.З., Бабокин В.Е., и др. Желудочковые нарушения ритма. Желудочковые тахикардии и внезапная сердечная смерть. Клинические рекомендации 2020 // Российский кардиологический журнал. — 2021. — Т. 26. — №7. — С. 4600. doi: https://doi.org/10.15829/1560-4071-2021-4600
6. Zeppenfeld K, Tfelt-Hansen J, de Riva M, Winkel BG, Behr ER, et al. 2022 ESC Guidelines for the management of patients with ventricular arrhythmias and the prevention of sudden cardiac death. Eur Heart J. 2022;43(40):3997-4126. doi: https://doi.org/10.1093/eurheartj/ehac262
7. Field ME, Holmes DN, Page RL, Fonarow GC, Matsouaka RA, et al; Get With The Guidelines-AFIB Clinical Working Group and Hospitals. Guideline-Concordant Antiarrhythmic Drug Use in the Get With The Guidelines-Atrial Fibrillation Registry. Circ Arrhythm Electrophysiol. 2021;14(2):e008961. doi: https://doi.org/10.1161/CIRCEP.120.008961
8. Hempenius M, Groenwold RHH, de Boer A, Klungel OH, Gardarsdottir H. Amiodarone use and the risk of acute pancreatitis: Influence of different exposure definitions. Pharmacoepidemiol Drug Saf. 2019;28(12):1563-1571. doi: https://doi.org/10.1002/pds.4851
9. Chung SC, Lai A, Lip GYH, Lambiase PD, Providencia R. Impact of anti-arrhythmic drugs and catheter ablation on the survival of patients with atrial fibrillation: a population study based on 199 433 new-onset atrial fibrillation patients in the UK. Europace. 2023;25(2):351-359. doi: https://doi.org/10.1093/europace/euac155
10. Алгоритмы ведения пациентов с нарушениями ритма сердца. / Под ред. Лебедев Д.С., Михайлов Е.Н. — СПб.: Российское кардиологическое общество; 2021.
11. Trohman RG, Sharma PS, McAninch EA, Bianco AC. Amiodarone and thyroid physiology, pathophysiology, diagnosis and management. Trends Cardiovasc Med. 2019;29(5):285-295. doi: https://doi.org/10.1016/j.tcm.2018.09.005
12. Bartalena L, Bogazzi F, Chiovato L, Hubalewska-Dydejczyk A, Links TP, Vanderpump M. 2018 European Thyroid Association (ETA) Guidelines for the Management of Amiodarone-Associated Thyroid Dysfunction. Eur Thyroid J. 2018;7(2): 55–66. doi: https://doi.org/10.1159/000486957
13. Гринева Е.Н., Цой У.А., Каронова Т.Л., Андрейченко Т.В., Богданова Г.А., и др. Проект Федеральных клинических рекомендаций по диагностике и лечению амиодарон-индуцированной дисфункции щитовидной железы // Клиническая и экспериментальная тиреоидология. — 2020. — Т. 16. №2. — С. 12-24. doi: https://doi.org/10.14341/ket12693
14. Jhawar N, Chirila R. How do I diagnose and treat my patient’s amiodarone-induced thyrotoxicosis? Cleve Clin J Med. 2023;90(7):409-412. doi: https://doi.org/10.3949/ccjm.90a.22084
15. Трошина Е.А., Панфилова Е.А., Михина М.С., Ким И.В., Сенюшкина Е.С., и др. Клинические рекомендации «Острые и хронические тиреоидиты (исключая аутоиммунный тиреоидит)» // Проблемы Эндокринологии. — 2021. — Т. 67. — №2. — С. 57-83. doi: https://doi.org/10.14341/probl12747
16. Elshimy G, Alsayed M, Targovnik J, Sidarous G, Milas KM. The Use of 99mTc-Methoxy-isobutyl-isonitrile (sestaMIBI) Uptake on Scintigraphy (99m-STS) in Amiodarone-Induced Thyrotoxicosis: Case Series and Review of the Literature. Case Rep Endocrinol. 2020;2020:2493460. doi: https://doi.org/10.1155/2020/2493460
17. Cappellani D, Marconcini G, Manetti L, Bartalena L, Bogazzi F. Real-life Data on the Effect of Medical Therapy for Amiodarone-induced Thyrotoxicosis on CV Events and Hospitalizations. J Clin Endocrinol Metab. 2023;108(6):1298-1307. doi: https://doi.org/10.1210/clinem/dgac756
18. Cappellani D, Bartalena L, Bogazzi F. Short review: novel concepts in the approach to patients with amiodarone-induced thyrotoxicosis. J Endocrinol Invest. 2024;47(2):275-283. doi: https://doi.org/10.1007/s40618-023-02168-3
19. Bogazzi F, Bartalena L, Cosci C, et al. Treatment of type II amiodarone-induced thyrotoxicosis by either iopanoic acid or glucocorticoids: a prospective, randomized study. J Clin Endocrinol Metab. 2003;88(5):1999-2002. doi: https://doi.org/10.1210/jc.2002-021874
20. Bogazzi F, Bartalena L, Tomisti L, Rossi G, Tanda ML, et al. Glucocorticoid response in amiodarone-induced thyrotoxicosis resulting from destructive thyroiditis is predicted by thyroid volume and serum free thyroid hormone concentrations. J Clin Endocrinol Metab. 2007;92(2):556–62. doi: https://doi.org/10.1210/jc.2006-2059
21. Ермолаева А.С., Фадеев В.В. Амиодарон-индуцированный тиреотоксикоз 2 типа: ретроспективный анализ эффективности терапии глюкокортикоидами // Проблемы эндокринологии. — 2023. — Т. 69. — №6. — С.17-27. doi: https://doi.org/10.14341/probl13267
22. Conen D, Melly L, Kaufmann C, Bilz S, Ammann P, Schaer B, et al. Amiodarone-induced thyrotoxicosis: clinical course and predictors of outcome. J Am Coll Cardiol 2007;49(24):2350–2355 doi: https://doi.org/10.1016/j.jacc.2007.02.054
23. Yamamoto JM, Katz PM, Bras JAF, Shafer LA, Leung AA, et al. Amiodarone-induced thyrotoxicosis in heart failure with a reduced ejection fraction: A retrospective cohort study. Health Sci Rep. 2018;1(5):e36. doi: https://doi.org/10.1002/hsr2.36
24. Ylli D, Wartofsky L, Burman KD. Evaluation and Treatment of Amiodarone-Induced Thyroid Disorders. J Clin Endocrinol Metab. 2021;106(1):226-236. doi: https://doi.org/10.1210/clinem/dgaa686
25. Bogazzi F, Tomisti L, Rossi G, Dell’Unto E, et al. Glucocorticoids are preferable to thionamides as first-line treatment for amiodarone-induced thyrotoxicosis due to destructive thyroiditis: a matched retrospective cohort study. J Clin Endocrinol Metab. 2009;94(10):3757-62. doi: https://doi.org/10.1210/jc.2009-0940
26. Bogazzi F, Bartalena L, Tomisti L, Rossi G, Brogioni S, Martino E. Continuation of amiodarone delays restoration of euthyroidism in patients with type 2 amiodarone-induced thyrotoxicosis treated with prednisone: a pilot study. J Clin Endocrinol Metab. 2011;96(11):3374-80. doi: https://doi.org/10.1210/jc.2011-1678
27. Isaacs M, Costin M, Bova R, Barrett HL, et al. Management of Amiodarone-Induced Thyrotoxicosis at a Cardiac Transplantation Centre. Front Endocrinol (Lausanne). 2018;9:482. doi: https://doi.org/10.3389/fendo.2018.00482
28. Patel N, Inder WJ, Sullivan C, Kaye G. An audit of amiodarone-induced thyrotoxicosis–do anti-thyroid drugs alone provide adequate treatment? Heart Lung Circ. 2014;23:549–54. doi: https://doi.org/10.1016/j.hlc.2014.01.013
29. Ермолаева А.С., Бякина О.А., Сыч Ю.П., Копылов Ф.Ю., Фадеев В.В. Амиодарон-индуцированный тиреотоксикоз 2-го типа: предикторы и варианты терапии. // Альманах клинической медицины. — 2019. — Т. 47. — №2. — С.156-165. doi: https://doi.org/10.18786/2072-0505-2019-47-018
Дополнительные файлы
|  | 1. Рисунок 1. Виды нарушений ритма сердца при назначении амиодарона. | |
| Тема | ||
| Тип | Исследовательские инструменты | |
| 
                  
                    Посмотреть
                                        
                    (277KB)    
                   | Метаданные ▾ | |
|  | 2. Рисунок 2. Динамика уровня свободных фракций тиреоидных гормонов на фоне терапии глюкокортикоидами. | |
| Тема | ||
| Тип | Исследовательские инструменты | |
| 
                  
                    Посмотреть
                                        
                    (173KB)    
                   | Метаданные ▾ | |
|  | 3. Рисунок 3а. Кривая Каплана-Мейера, характеризующая выживаемость пациентов с недостижением эутиреоза в течение 1 месяца терапии глюкокортикоидами в зависимости от времени их назначения. | |
| Тема | ||
| Тип | Исследовательские инструменты | |
| 
                  
                    Посмотреть
                                        
                    (188KB)    
                   | Метаданные ▾ | |
|  | 4. Рисунок 3б. Кривая Каплана-Мейера, характеризующая выживаемость по длительности тиреотоксикоза у пациентов с отсроченным достижением эутиреоза в зависимости от времени назначения терапии глюкокортикоидами. | |
| Тема | ||
| Тип | Исследовательские инструменты | |
| 
                  
                    Посмотреть
                                        
                    (188KB)    
                   | Метаданные ▾ | |
|  | 5. Рисунок 4. ROC-кривая вероятности развития повторной волны деструкции при АмИТ2 в зависимости от возраста. | |
| Тема | ||
| Тип | Исследовательские инструменты | |
| 
                  
                    Посмотреть
                                        
                    (109KB)    
                   | Метаданные ▾ | |
Рецензия
Для цитирования:
Ермолаева А.С., Фадеев В.В. Амиодарон-индуцированный тиреотоксикоз 2 типа: факторы отсроченного ответа на терапию глюкокортикоидами. Клиническая и экспериментальная тиреоидология. 2024;20(1):4-14. https://doi.org/10.14341/ket12784
For citation:
Ermolaeva A.S., Fadeev V.V. Type 2 amiodarone-induced thyrotoxicosis: factors of delayed response to glucocorticoid therapy. Clinical and experimental thyroidology. 2024;20(1):4-14. (In Russ.) https://doi.org/10.14341/ket12784
 
Контент доступен под лицензией Creative Commons Attribution-NonCommercial-NoDerivatives 4.0 International License (CC BY-NC-ND 4.0).
 
                    
 
  
  
  
  
  Послать статью по эл. почте
            Послать статью по эл. почте 






























