Ошибки: Эффекты фармакологических доз селена на функцию щитовидной железы при аутоиммунном тиреоидите (Клиническая и экспериментальная тиреоидология. – 2019. – Т. 15. – №2. doi: 10.14341/ket10299)
https://doi.org/10.14341/ket12298
Аннотация
Ошибка в статье “Эффекты фармакологических доз селена на функцию щитовидной железы при аутоиммунном тиреоидите” авторского коллектива в составе Е.А. Шабалина, В.В. Фадеев, опубликованной в журнале Клиническая и экспериментальная тиреоидология. – 2019. – Т. 15. – №2. doi: 10.14341/ket10299.
В рисунке 1 под названием “Дизайн исследования” допущена ошибка в уровне ТТГ: 0,4–10,0 мЕд/л. Верные значения следующие: ТТГ 4,0–10,0 мЕд/л. Редакция сожалеет о допущенной ошибке. Исходная версия статьи была заменена.
Об авторах
Елена Александровна ШабалинаРоссия
аспирант
Валентин Викторович Фадеев
Россия
д.м.н., профессор, член-корр. РАН
Дополнительные файлы
|
|
1. Рис. 1. Дизайн исследования. | |
| Тема | ||
| Тип | Прочее | |
Посмотреть
(115KB)
|
Метаданные ▾ | |
|
|
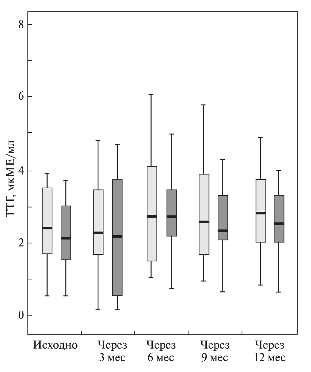
2. Рис. 2. Уровень ТТГ в течение 12 мес наблюдения в основной и контрольной группах у носительниц АТ-ТПО (здесь и на последующих рисунках светлым цветом обозначена основная группа, темным – контрольная). | |
| Тема | ||
| Тип | Прочее | |
Посмотреть
(166KB)
|
Метаданные ▾ | |
|
|
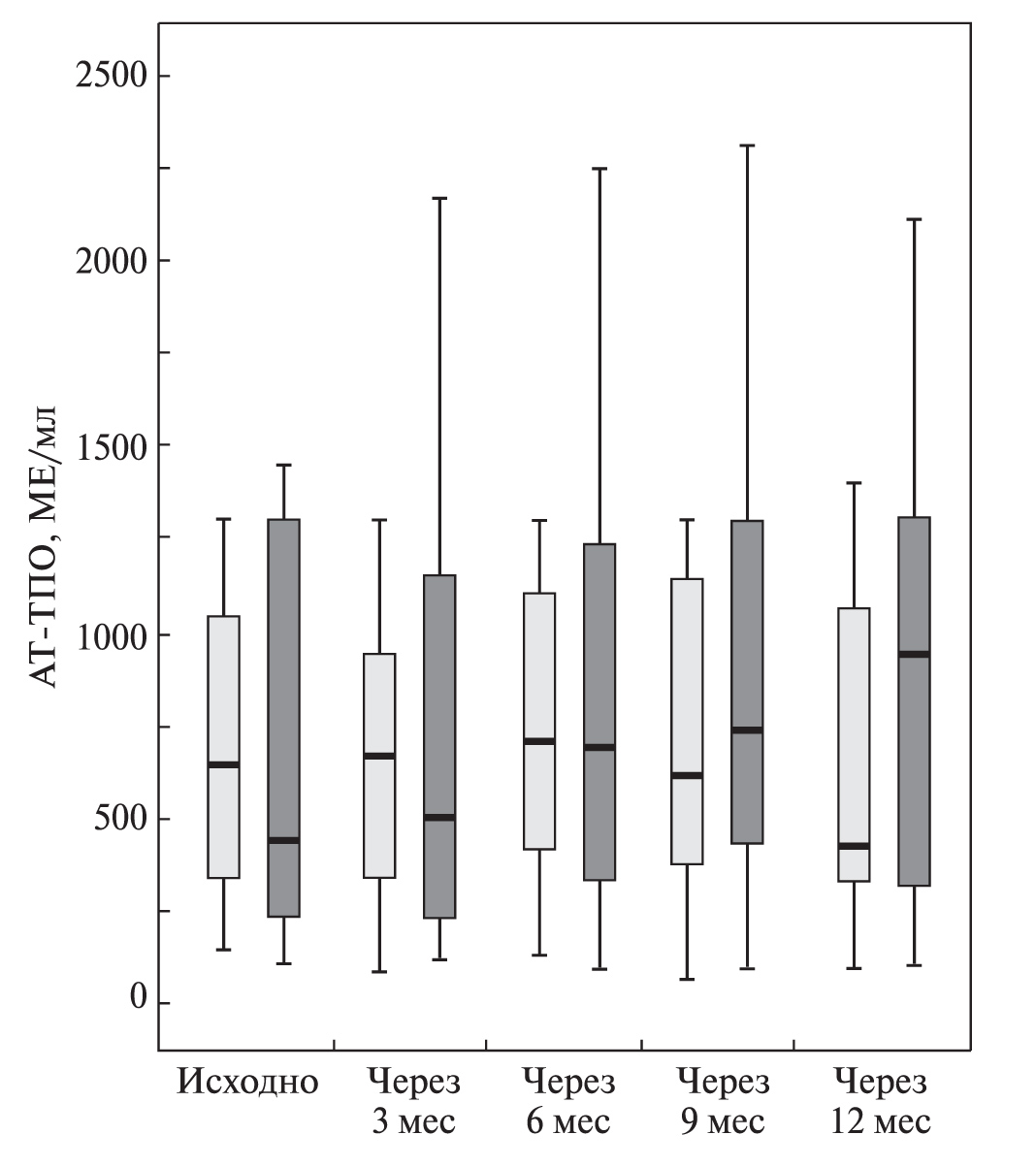
3. Рис. 3. Динамика показателей АТ-ТПО в течение 12 мес наблюдения у носительниц АТ-ТПО. | |
| Тема | ||
| Тип | Прочее | |
Посмотреть
(182KB)
|
Метаданные ▾ | |
|
|
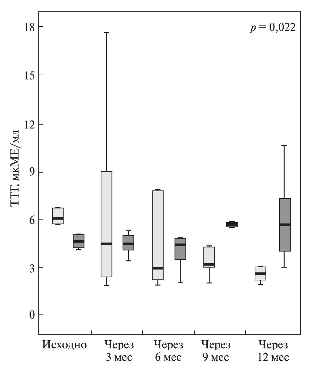
4. Рис. 4. Динамика уровня ТТГ в течение 12 мес наблюдения у пациенток с субклиническим гипотиреозом и носительством АТ-ТПО. | |
| Тема | ||
| Тип | Прочее | |
Посмотреть
(156KB)
|
Метаданные ▾ | |
|
|
5. Рис. 5. Динамика показателей АТ-ТПО в течение 12 мес наблюдения у пациенток с субклиническим гипотиреозом и носительством АТ-ТПО. | |
| Тема | ||
| Тип | Прочее | |
Посмотреть
(176KB)
|
Метаданные ▾ | |
|
|
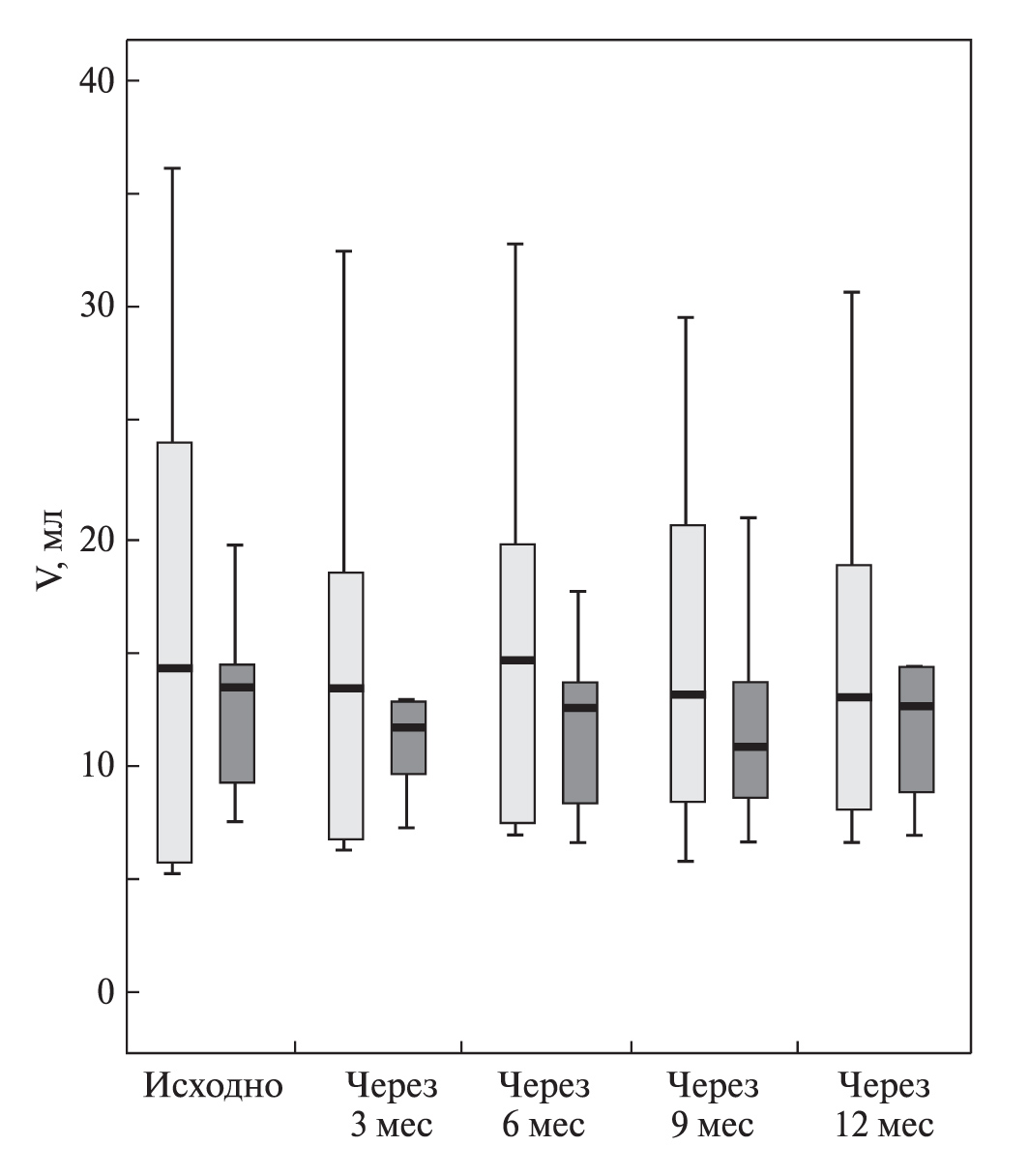
6. Рис. 6. Изменение объема ЩЖ в течение 12 мес наблюдения у носительниц АТ-ТПО. | |
| Тема | ||
| Тип | Прочее | |
Посмотреть
(159KB)
|
Метаданные ▾ | |
|
|
7. Рис. 7. Изменение объема ЩЖ в течение 12 мес наблюдения у пациенток с субклиническим гипотиреозом и носительством АТ-ТПО. | |
| Тема | ||
| Тип | Прочее | |
Посмотреть
(154KB)
|
Метаданные ▾ | |
Рецензия
Для цитирования:
Шабалина Е.А., Фадеев В.В. Ошибки: Эффекты фармакологических доз селена на функцию щитовидной железы при аутоиммунном тиреоидите (Клиническая и экспериментальная тиреоидология. – 2019. – Т. 15. – №2. doi: 10.14341/ket10299). Клиническая и экспериментальная тиреоидология. 2019;15(3):129-129. https://doi.org/10.14341/ket12298
For citation:
Shabalina E.A., Fadeyev V.V. Erratum: Effects of selenium in patients with autoimmune thyroiditis (Clinical and experimental thyroidology. 2019;15(2). doi: 10.14341/ket10299). Clinical and experimental thyroidology. 2019;15(3):129-129. (In Russ.) https://doi.org/10.14341/ket12298
Контент доступен под лицензией Creative Commons Attribution-NonCommercial-NoDerivatives 4.0 International License (CC BY-NC-ND 4.0).
































