Определение нижнего предела референтного интервала свободного тироксина у новорожденных с целью выбора терапевтической тактики при врожденном гипотиреозе
https://doi.org/10.14341/ket12771
Аннотация
ОБОСНОВАНИЕ. Врожденный гипотиреоз (ВГ) — одно из распространенных тиреоидных заболеваний у детей, при котором раннее выявление и быстрое начало ЗГТ имеют важное значение для дальнейшего нормального развития. В клинической практике одной из ключевых проблем является дифференциация уровня свободного тироксина (св.Т4) для выявления случаев явного гипотиреоза, требующего незамедлительного назначения левотироксина, и субклинического гипотиреоза, позволяющего клиницисту разобраться в причинах повышения ТТГ в ходе динамического наблюдения и принять кардинальное решение о необходимости пожизненной заместительной гормональной терапии (ЗГТ).
ЦЕЛЬ. Установить значения нижнего предела референтного интервала (НПРИ) для св.Т4 у новорожденных для принятия решения в отношении терапевтической тактики ВГ.
МАТЕРИАЛЫ И МЕТОДЫ. лабораторные исследования выполнены до 2013 г. на анализаторе «Wallac DELFIA» (нормативы для св.Т4 9,8–16,8 пмоль/л), затем — на анализаторе «bioMerieux VIDAS» (нормативы для св.Т4 10,6–19,4 пмоль/л). РИ определяли непрямым методом на основе результатов измерений св.Т4 у новорожденных, обследованных в рамках неонатального скрининга на этапе уточняющей диагностики.
РЕЗУЛЬТАТЫ. При анализе измерений св.Т4 всех 1596 новорожденных, включенных в исследование, получены следующие пределы РИ: НПРИ — 10,9 пмоль/л (90% ДИ 10,5; 11,1), верхний — 25,5 пмоль/л (90% ДИ 25,1; 26,4). НПРИ в группах в зависимости от сроков гестации: у доношенных — 11,10 пмоль/л, (90% ДИ 10,70–11,60 пмоль/л); у недоношенных — 9,63 пмоль/л (90% ДИ 9,20 — 11,30 пмоль/л).
ЗАКЛЮЧЕНИЕ. В клинической практике целесообразно использовать точку разделения для св.Т4 ниже 11,0 пмоль/л для принятия решения о необходимости ЗГТ, независимо от дня проведения уточняющей диагностики и срока гестации. При уровне св.Т4 выше 11,0 пмоль/л, независимо от уровня повышения ТТГ, можно интерпретировать данное состояние как субклинический гипотиреоз и выбрать тактику динамического наблюдения с ежемесячным контролем тиреоидных тестов.
Об авторах
Л. И. СавельевРоссия
Савельев Леонид Иосифович, доцент кафедры клинической лабораторной диагностики
119991, Свердловская обл., Екатеринбург, 620014, ул. Репина, 3
Конфликт интересов:
Авторы декларируют отсутствие явных и потенциальных конфликтов интересов, связанных с содержанием настоящей статьи
А. В. Кияев
Россия
Кияев Алексей Васильевич
Екатеринбург
Конфликт интересов:
Авторы декларируют отсутствие явных и потенциальных конфликтов интересов, связанных с содержанием настоящей статьи
А. А. Удачина
Россия
Удачина Анастасия Алексеевна
Екатеринбург
Конфликт интересов:
Авторы декларируют отсутствие явных и потенциальных конфликтов интересов, связанных с содержанием настоящей статьи
М. А. Cловак
Россия
Cловак Мария Александровна
Екатеринбург
Конфликт интересов:
Авторы декларируют отсутствие явных и потенциальных конфликтов интересов, связанных с содержанием настоящей статьи
Т. И. Беляева
Россия
Беляева Татьяна Ивановна
Екатеринбург
Конфликт интересов:
Авторы декларируют отсутствие явных и потенциальных конфликтов интересов, связанных с содержанием настоящей статьи
Список литературы
1. Дедов И.И., Безлепкина О.Б., Вадина Т.А., и др. Скрининг на врожденный гипотиреоз в Российской Федерации // Проблемы эндокринологии. — 2018. — Т. 64. — №1. — С. 14-20
2. Клименко Т.А., Безлепкина О.Б., Чикулаева О.А. Интеллектуальное развитие при врожденном гипотиреозе // Клиническая и экспериментальная тиреоидология. — 2010. — Т. 6. — №4. — С. 17-21
3. Le´ger J, Olivieri A, Donaldson M, et al. ESPE-PES-SLEP-JSPE-APEG-APPES-ISPAE; Congenital Hypothyroidism Consensus Conference Group 2014 European Society for Paediatric Endocrinology consensus guidelines on screening, diagnosis, and management of congenital hypothyroidism. J Clin Endocrinol Metab. 99:363–384
4. van Trotsenburg P, Stoupa A, Léger J, et al. Congenital hypothyroidism: A 2020–2021 consensus guidelines update— An ENDO-European Reference Network Initiative Endorsed by the European Society for Pediatric Endocrinology and the European Society for Endocrinology. Thyroid. 2021;31(3):387-419. doi: https://doi.org/10.1089/thy.2020.0333
5. Mehmet Mutlu, Gülay Karagüzel, Yüksel Alıyazicioğlu, et al. Reference intervals for thyrotropin and thyroid hormones and ultrasonographic thyroid volume during the neonatal period. J Matern Fetal Neonatal Med. 2012;25(2):120-4. doi: https://doi.org/10.3109/14767058.2011.561894
6. Dana Bailey, David Colantonio, Lianna Kyriakopoulou, et al. Marked biological variance in endocrine and biochemical markers in childhood: establishment of pediatric reference intervals using healthy community children from the CALIPER cohort. Clin Chem. 2013;59(9):1393-405. doi: https://doi.org/10.1373/clinchem.2013.204222
7. Jayasuriya MS, Choy KW, Chin LK, et al. Reference intervals for neonatal thyroid function tests in the first 7 days of life. J Pediatr Endocrinol Metab. 2018;31(10):1113-1116. doi: https://doi.org/10.1515/jpem-2018-0007
8. Omuse G, Kassim A, Kiigu F, Hussain SR, Limbe M. Reference intervals for thyroid stimulating hormone and free thyroxine derived from neonates undergoing routine screening for congenital hypothyroidism at a university teaching hospital in Nairobi, Kenya: a cross sectional study. BMC Endocr Disord. 2016;16(1):23. doi: https://doi.org/10.1186/s12902-016-0107-9
9. Hoq M, Karlaftis V, Mathews S, et al. A prospective, crosssectional study to establish age-specific reference intervals for neonates and children in the setting of clinical biochemistry, immunology and haematology: the HAPPI Kids study protocol. BMJ Open. 2019;9(4):e025897. doi: https://doi.org/10.1136/bmjopen-2018-025897
10. Naafs JC, Heinen CA, Zwaveling-Soonawala N, et al. Age-Specific Reference Intervals for Plasma Free Thyroxine and Thyrotropin in Term Neonates During the First Two Weeks of Life. Thyroid. 2020;30(8):1106-1111. doi: https://doi.org/10.1089/thy.2019.0779
11. Omuse G, Kawalya D, Mugaine P, Chege A, Maina D. Neonatal reference intervals for thyroid stimulating hormone and free thyroxine assayed on a Siemens Atellica® IM analyzer: a cross sectional study. BMC Endocr Disord. 2023;23(1):112. doi: https://doi.org/10.1186/s12902-023-01367-6
12. Kang MJ, Chung HR, Oh YJ, Shim YS, Yang S, Hwang IT. Threeyear follow-up of children with abnormal newborn screening results for congenital hypothyroidism. Pediatr Neonatol. 2017. doi: https://doi.org/10.1016/j.pedneo.2017.01.002
13. Zdraveska N, Zdravkovska M, Anastasovska V, Sukarova-Angelovska E, Kocova M. Diagnostic re-evaluation of congenital hypothyroidism in Macedonia: predictors for transient or permanent hypothyroidism. Endocr Connect. 2018;7(2):278-285. doi: https://doi.org/10.1530/EC-17-0332
14. Park IS, Yoon JS, So CH, Lee HS, Hwang JS. Predictors of transient congenital hypothyroidism in children with eutopic thyroid gland. Ann Pediatr Endocrinol Metab. 2017. doi: https://doi.org/10.6065/apem.2017.22.2.115
15. Петеркова В.А., Безлепкина О.Б., Ширяева Т.Ю., и др. Клинические рекомендации «Врожденный гипотиреоз» // Проблемы эндокринологии. — 2022. — Т. 68. — №2. — С.90-103
16. Шрёдер Е.В., Ширяева Т.Ю., Нагаева Е.В., Безлепкина О.Б. Клинические рекомендации по врожденному гипотиреозу Европейского Общества детских эндокринологов (ESPE) и Европейского эндокринологического общества (ESO): основные положения и комментарии // Клиническая и экспериментальная тиреоидология. — 2021. — Т. 17. — №2. — С. 4-12
17. CLSI EP28-A3C. Defining, establishing, and verifying reference intervals in the clinical laboratory. Wayne PAL Clin Lab Stand Inst. 2010
18. Haeckel R, Wosniok W, Streichert T. Review of potentials and limitations of indirect approaches for estimating reference limits/intervals of quantitative procedures in laboratory medicine. J Lab Med. 2021;45(2):35-53. doi: https://doi.org/10.1515/labmed-2020-0131
Дополнительные файлы
|
|
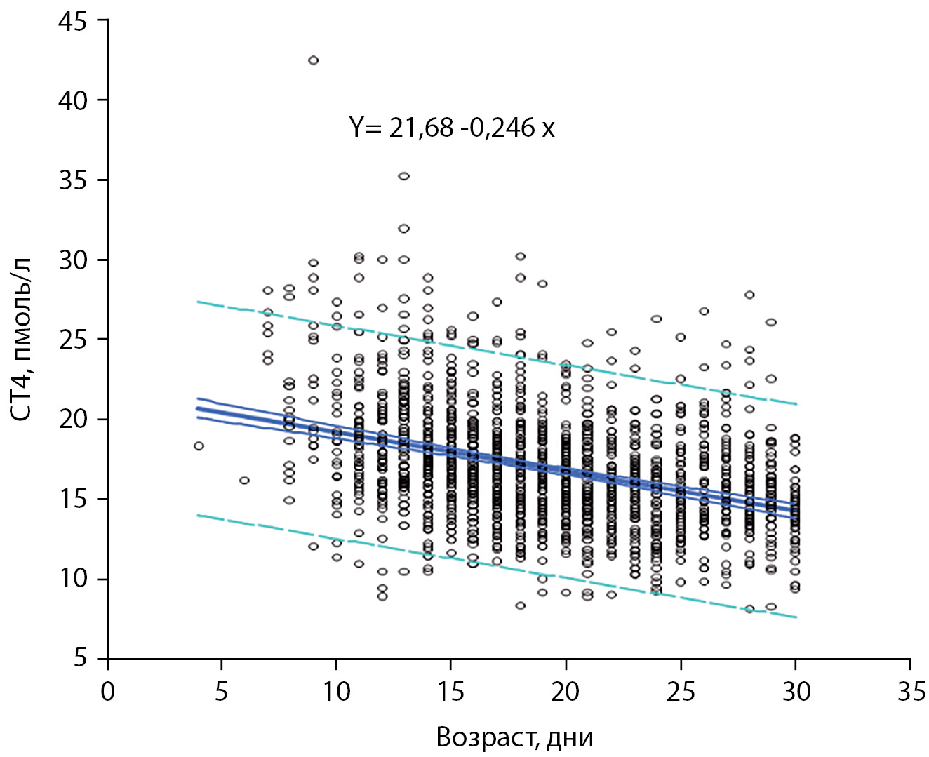
1. Рисунок 1. Зависимость между возрастом ребенка и уровнем св.Т4. Коэффициент наклона b=-0,246 (95% ДИ -0,275; -0,217), p<0,001. Синяя толстая линия — линия линейной регрессии, синие тонкие линии — 95% ДИ линии линейной регрессии, штриховые линии ограничивают предсказуемый на 95% интервал регрессии. | |
| Тема | ||
| Тип | Исследовательские инструменты | |
Посмотреть
(186KB)
|
Метаданные ▾ | |
|
|
2. Рисунок 2. Зависимость между массой тела при рождении и уровнем св.Т4. Коэффициент наклона b=9,2408E-05 (95% ДИ 1,9186E-04; 3,7667E-04), p=0,524. Синяя толстая линия — линия линейной регрессии, синие тонкие линии — 95% ДИ линии линейной регрессии, штриховые линии ограничивают предсказуемый на 95% интервал регрессии. | |
| Тема | ||
| Тип | Исследовательские инструменты | |
Посмотреть
(192KB)
|
Метаданные ▾ | |
|
|
3. Рисунок 3. Зависимость концентрации св.Т4 от гестационного возраста у недоношенных Коэффициент наклона b=-0,08301 (95% ДИ -0,35506; 0,18904), p=0,546. Синяя толстая линия — линия линейной регрессии, синие тонкие линии — 95% ДИ линии линейной регрессии, штриховые линии ограничивают предсказуемый на 95% интервал регрессии. | |
| Тема | ||
| Тип | Исследовательские инструменты | |
Посмотреть
(135KB)
|
Метаданные ▾ | |
|
|
4. Рисунок 4. Зависимость распределения уровня св.Т4 от возраста новорожденных среди доношенных (слева) и недоношенных детей (справа). Для доношенных коэффициент наклона b=-0.2595, p<0,001. Для недоношенных коэффициент наклона b=-0,1525, p<0,001. Синяя толстая линия — линия линейной регрессии, синие тонкие линии — 95% ДИ линии линейной регрессии, штриховые линии ограничивают предсказуемый на 95% интервал регрессии. | |
| Тема | ||
| Тип | Исследовательские инструменты | |
Посмотреть
(252KB)
|
Метаданные ▾ | |
Рецензия
Для цитирования:
Савельев Л.И., Кияев А.В., Удачина А.А., Cловак М.А., Беляева Т.И. Определение нижнего предела референтного интервала свободного тироксина у новорожденных с целью выбора терапевтической тактики при врожденном гипотиреозе. Клиническая и экспериментальная тиреоидология. 2023;19(3):22-28. https://doi.org/10.14341/ket12771
For citation:
Savelyev L.I., Kiiaev A.V., Udachina A.A., Slovak M.A., Belyaeva T.I. Lower limit of free thyroxine reference interval in neonates to choose therapeutic tactics for congenital hypothyroidism. Clinical and experimental thyroidology. 2023;19(3):22-28. (In Russ.) https://doi.org/10.14341/ket12771
Контент доступен под лицензией Creative Commons Attribution-NonCommercial-NoDerivatives 4.0 International License (CC BY-NC-ND 4.0).
































